Skip to content Skip to sidebar Skip to footer

How To Find R In Excel - Calculate the grand mean (the mean of all measurement values) step 2:

How To Find R In Excel - Calculate the grand mean (the mean of all measurement values) step 2:. For further queries use the comments section below. Calculating gage r&r using an excel spreadsheet. If you're not sure how to load the toolpak, here's a summary of how to load the analysis toolpak: R(x) and r(y) are the ranks of the x and y variables; Because r 2 always increases as you add more predictors to a model, adjusted r 2 can serve as a metric that tells you how useful a model is, adjusted for the number of predictors in a model.

The correlation coefficient, r can be calculated by using the function correl. A value of 0 indicates. The other alternative is to find a correlation and. Previously, we described the essentials of r programming and provided quick start guides for reading and writing txt and csv files using r base functions as well as using a most modern r package named readr, which is faster (x10) than r base functions.we also described different ways for reading data from excel files into r. Again, r 2 = r 2.

How Do You Calculate R Squared In Excel
How Do You Calculate R Squared In Excel from www.investopedia.com
R(x) and r(y) are the ranks of the x and y variables; How to calculate spearman correlation in excel with correl function. I'm relatively new to r (and programming). Open a new excel 2010 spreadsheet. The closer to 1.0, the better the fit of the regression line. Again, r 2 = r 2. From the graph, we see that r 2 = 0.9488. However, that does not mean you will have to rack your brain with the above.

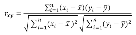
R squared can then be calculated by squaring r, or by simply using the function rsq.

There are many solutions to import and export excel files using r software.the different ways to connect r and excel has been already discussed in our previous article r excel essentials : There are several methods to calculate correlation in excel. May i know, how to find mean and standard deviations by year and region, for the table of dealsatis, as below: However, the %r was getting weaker. Finally, we are set up to read an xlsx excel file to r! For each measurement calculate the mean for all measurements with the same part id, the same operator id and the same part and operator id's. I have an excel workbook with 36 sheets, but suppose that i don't know how many sheets there are and i want my code to find that out for me. Here, correl function is used to calculate correlation coefficient and then encapsulated it with power function to get the square of the correlation coefficient. You can get that value in r with. After running the previous r syntax, you should find an xlsx file at the path that you have specified within the write.xlsx function. However, that does not mean you will have to rack your brain with the above. When you open the xlsx table it should look as follows: Click 'file' from the tab list.

Learn how to use the correl function and to manually calculate the correlation coefficient (r) in excel 2010. Because r 2 always increases as you add more predictors to a model, adjusted r 2 can serve as a metric that tells you how useful a model is, adjusted for the number of predictors in a model. The other alternative is to find a correlation and. By the end of april, the price was following the %r lower. Put the data into two columns:

Correlation In Excel Coefficient Matrix And Graph
Correlation In Excel Coefficient Matrix And Graph from cdn.ablebits.com
You can make use of functions to create excel workbooks, with multiple sheets if desired, and import data to them. After running the previous r syntax, you should find an xlsx file at the path that you have specified within the write.xlsx function. By the end of april, the price was following the %r lower. 2*pnorm(2) the pnorm() function is the cumulative density function for a normal random variable. R(x) and r(y) are the ranks of the x and y variables; Here, correl function is used to calculate correlation coefficient and then encapsulated it with power function to get the square of the correlation coefficient. There is one function that you need to know it's write.table.you might also want to consider: However, that does not mean you will have to rack your brain with the above.

R(x) and r(y) are the mean ranks;

You can make use of functions to create excel workbooks, with multiple sheets if desired, and import data to them. Here, correl function is used to calculate correlation coefficient and then encapsulated it with power function to get the square of the correlation coefficient. Regrettably, excel does not have an inbuilt function for calculating the spearman rank correlation coefficient. Excel is a tremendous tool for all your trading analysis. Write.csv which uses . for the decimal point and a comma for the separator and write.csv2 which uses a comma for the decimal point and a semicolon for the separator. There are several methods to calculate correlation in excel. For each measurement calculate the squared difference between means. From the graph, we see that r 2 = 0.9488. Finally, we are set up to read an xlsx excel file to r! Click on cell 'a1' and type in a header for your measurements. Previously, we described the essentials of r programming and provided quick start guides for reading and writing txt and csv files using r base functions as well as using a most modern r package named readr, which is faster (x10) than r base functions.we also described different ways for reading data from excel files into r. For example, say you have data about the heights and weights of 50 people, and want to calculate the pearson correlation between the two. The correlation coefficient, r can be calculated by using the function correl.

For each measurement calculate the mean for all measurements with the same part id, the same operator id and the same part and operator id's. Calculating gage r&r using an excel spreadsheet. When you open the xlsx table it should look as follows: R squared can then be calculated by squaring r, or by simply using the function rsq. Your graph should now look like figure 6.

3 Ways To Calculate A Pearson S Correlation Coefficient In Excel How To Excel
3 Ways To Calculate A Pearson S Correlation Coefficient In Excel How To Excel from cdn-5a6cb102f911c811e474f1cd.closte.com
Again, r 2 = r 2. Read, write and format excel files using r. Here, correl function is used to calculate correlation coefficient and then encapsulated it with power function to get the square of the correlation coefficient. I hope it was explanatory enough. Your graph should now look like figure 6. For each measurement calculate the squared difference between means. The closer to 1.0, the better the fit of the regression line. The value for r2 can range from 0 to 1:

Iris data set exported as xlsx excel file.

You can use it to calculate technical indicators, backtest trading strategies and develop new trading strategies. You can make use of functions to create excel workbooks, with multiple sheets if desired, and import data to them. R squared can then be calculated by squaring r, or by simply using the function rsq. And we will verify the manual calculation of r value against the value calculated by minitab and excel. Because r 2 always increases as you add more predictors to a model, adjusted r 2 can serve as a metric that tells you how useful a model is, adjusted for the number of predictors in a model. Read, write and format excel files using r]. After running the previous r syntax, you should find an xlsx file at the path that you have specified within the write.xlsx function. Calculating gage r&r using an excel spreadsheet. If you're not sure how to load the toolpak, here's a summary of how to load the analysis toolpak: Open a new excel 2010 spreadsheet. This allows you to examine is there is a statis. There are many solutions to import and export excel files using r software.the different ways to connect r and excel has been already discussed in our previous article r excel essentials : I tried using the r code but could not find mean and standard deviation.